首页 >> 寻医问药

使用对羟基苯甲酸甲酯和对羟基苯甲酸丁酯会干扰酶促抗氧化系统

2024-07-24 寻医问药 81171 作者:网友投稿

前言

对羟基苯甲酸酯是一种防腐剂,70多年来广泛用于化妆品、食品和制药行业。关于对羟基苯甲酸酯的毒理作用,已经有很多著述,但仍未达成共识。

使用对羟基苯甲酸酯的主要理由是,这些化合物已经被使用和研究了很长时间,它们的替代物可能会导致被不太可靠和潜在不安全的替代品所取代。虽然这是一个有效的论点,但它不应阻止对羟苯甲酸酯可能的毒性作用的进一步研究和能够替代羟苯甲酸酯的化合物的开发。

基于中国女性真实样本测量的对羟基苯甲酸酯暴露数据显示,人类可暴露于0.326毫克/千克−1每日.尽管对羟基苯甲酸酯被怀疑会导致不孕,但迄今为止,尿中对羟基苯甲酸酯的浓度与两名妇女的不孕之间存在直接关系和男人还没有论证过。

已经清楚地表明,暴露于对羟基苯甲酸酯会降低精子发生和精子活力,从而影响男性生育能力。由对羟基苯甲酸酯诱导的氧化应激在毒性中起主要作用,这直接转化为高水平的脂质过氧化,可能是非酶和酶抗氧化剂减少的结果。

在对羟基苯甲酸丁酯的作用下,已经在肝细胞中观察到这些效应和角质细胞中,当暴露于阳光和对羟基苯甲酸甲酯的作用下。雌性大鼠在怀孕期间暴露于对羟基苯甲酸酯会导致线粒体生物能发生严重变化,并改变F1代睾丸生殖细胞的抗氧化能力

在试管内研究表明,长链对羟基苯甲酸酯可以诱导钙存在下线粒体瞬时通透性孔打开的易感性.在羊水样本中检测到了对羟基苯甲酸酯,孕妇接触对羟基苯甲酸酯可能与新生儿出生时的身长有关。

谷胱甘肽还原型(GSH),主要的非蛋白质细胞内硫醇化合物,已知可防止活性自由基。其被对羟基苯甲酸酯消耗可能与ROS产生增加有关,ROS产生增加可诱导DNA损伤暴露于高浓度对羟基苯甲酸酯的淋巴细胞引起DNA损伤。

通过彗星试验平均尾长进行分析个人护理产品中使用的化学品混合物与8-羟基-2′-脱氧鸟苷之间存在总体正相关关系,其中对羟基苯甲酸甲酯和邻苯二甲酸单苄酯对这种关联贡献最大

由于这些化学品在个人护理产品中的广泛存在和对人类的高频率使用,承认协同或累加毒性作用是现实的。

一、材料和方法

1.1化学品

对羟基苯甲酸甲酯和对羟基苯甲酸丁酯为白色粉末,纯度至少为99.5%。在无水乙醇中制备溶液,并用花生油稀释,以获得0(对照油)、100和200 mg/kg/d的浓度。这些剂量是根据科学文献的数据以及先前研究的结果。

1.2动物和实验设计

年轻的雄性Wister大鼠,饲养在22±2°C的人造光下,12小时光照/天循环,控制湿度,有水和食物随意,并在整个实验中使用。

将大鼠随机分为五组:对照组、100 mg/kg尼泊金甲酯、200 mg/kg尼泊金甲酯、100 mg/kg尼泊金丁酯和200 mg/kg尼泊金丁酯。对于亚慢性毒性研究,在腹股沟区皮下注射0.5毫升的对羟基苯甲酸酯,剂量为100和200毫克/千克每天给Wistar大鼠施用10天。

大学实验室动物资源兽医人员每天对动物进行监测。每天记录每只大鼠的体重,以计算每种化合物的给药体积。每天还监测食物和水的消耗。

最后一次给药后三天,记录体重,按照欧洲实验动物科学协会联合会(FELASA)的建议,使用腹腔注射氯胺酮和甲苯噻嗪,随后进行心脏穿刺和放血,将动物处死。实验按照国家标准和《欧洲保护用于实验和其他科学目的动物公约》以及相关的欧洲立法。

1.3组织制备

取出后,在pH 7.4的50 mM磷酸盐缓冲液中冲洗睾丸并称重。用匀浆器制备20% (w/v)睾丸匀浆,随后用波特-埃尔维耶姆玻璃-特氟隆匀浆器匀浆。将粗匀浆以800 xg离心10分钟,以沉淀细胞核和其他细胞碎片。

上清液以10 000 × g离心20 min,分离线粒体。获得的上清液(线粒体后部分)用于评估抗氧化酶活性。使用牛血清白蛋白作为标准来估计样品的蛋白质含量。

1.4抗氧化酶的测定

使用黄嘌呤-黄嘌呤氧化酶系统评估超氧化物歧化酶(SOD)活性。硝基四氮唑蓝(NBT)的还原被用作检测分子。反应混合物含有磷酸钾缓冲液、次黄嘌呤和NBT。

通过加入黄嘌呤氧化酶到30℃的酶提取。结果以蛋白质表示。过氧化氢酶(CAT)活性通过测量过氧化氢(H2O2)在240纳米处的消耗。反应在含有100 mM磷酸盐缓冲液和20 mM H的溶液中进行2O2在30°c时。

结果表示为蛋白质。在含有0.5 mM EDTA的50 mM磷酸盐缓冲液pH 7.0中,通过用NADPH还原氧化型谷胱甘肽,在340 nm下测定谷胱甘肽还原酶(GR)的活性。

通过使用NADPH的消光系数将结果表示为微米NADPH氧化/分钟/毫克蛋白质−1厘米−1).使用还原型谷胱甘肽和1氯-2,4-二硝基苯作为底物,在340 nm处测量谷胱甘肽S-转移酶(GST)的活性。

1.5氧化型和还原型谷胱甘肽含量的定量

还原型谷胱甘肽(GSH)水平在100 mM含5 mM EDTA的磷酸盐缓冲液中用荧光分析法测定,用O-邻苯二甲醛,分别在339和426纳米作为激发和发射波长。

在40 mM乙基马来酰亚胺中孵育30分钟后,用0.1n NaOH调节pH至12,使用相同的程序测量氧化型谷胱甘肽(GSSG)水平。制作谷胱甘肽和GSSG的标准曲线。谷胱甘肽和GSSG浓度以蛋白质表示,谷胱甘肽还原力以GSSG/谷胱甘肽表示。

1.6脂质过氧化

为了定量脂质过氧化,由一些专家使用。这种方法是基于亚铁离子(Fe2+)转化为三价铁离子(Fe3+),在酸性介质中,使用橙色二甲酚染料,该染料将被氧化成蓝紫色复合物,最大吸收在550-600nm之间。

先前制备的Fox试剂溶液,包含二甲酚橙染料,直径-tert-丁基甲基苯酚(BHT)乙醇溶液(4 mM)和含氨硫酸亚铁。将样品在缓冲液中于30℃孵育30分钟,最终体积为1毫升,偶尔摇动。

加入2 ml甲醇,持续搅拌,直到观察到膜破裂。然后将所有溶液在1950 RCF离心10分钟。随后,移出2 mL上清液,加入2.25mL Fox试剂,反应30分钟,随后在570 nm下进行分光光度读数。对照过氧化氢标准曲线读取信号,所得值以M H表示2O2/毫克蛋白质。

二、方法

2.1彗星试验的遗传毒性评估

对于所有的条件,还进行了改良的测定,额外的步骤是用甲酰胺基嘧啶-DNA糖基化酶(Fpg)孵育,其将氧化的嘌呤转化为DNA单链断裂。将在缓冲液(30 L中稀释的酶与盖玻片一起加到每个凝胶中,然后在37℃下在湿润的空气中孵育30分钟。

在电泳之前,通过在4℃下在电泳缓冲液中孵育载玻片30分钟来促进DNA解链。31 × 34 × 9 cm总是充满20个载玻片和1.2升缓冲液,这是仅用一薄层缓冲液覆盖载玻片所必需的量。在4℃下,在25伏下再进行30分钟的电泳。

将载玻片在1 × PBS中中和(10分钟,4°C),然后在4°C下在蒸馏水中中和10分钟。使用荧光显微镜DAPI染色对彗星进行可视化和评分。根据尾部长度和强度从0(没有尾部)到几乎所有DNA都在尾部。

最终得分表示为0-400范围内的“任意单位”是通过将每一类中的类核物质的平均百分比乘以相应的因子获得的,根据以下公式:遗传损伤指标(GDI) = [(%类核物质0类)× 0)] + [(%类核物质1类)× 1)] + [(%类核物质2类)× 2)] + [(%类核物质3类)× 3)] + [(%类核物质4类)。GDI和参数GDI空腹血糖下定决心。

2.2统计分析

当时,数据的描述性统计以平均值(M)和标准差(SD)表示。计算偏度和峰度系数用于单变量正态性分析,所有值都在2。

为了确定给予MP和BP是否对睾丸线粒体生物能学和几个器官的抗氧化能力有统计学显著影响,进行了多变量方差分析,然后进行了单向方差分析和因此测试,在适当的时候,使用SPSS进行所有统计分析。假设对以下方面有显著的统计影响p < 0.05。

三、结果

3.1动物体重、食物和水的消耗

饲料或水摄入量没有显著变化,没有观察到体重增加的显著变化,并且在实验期间没有观察到死亡率。

用两种不同浓度的对羟基苯甲酸甲酯和对羟基苯甲酸丁酯处理对实验开始和最后一次给药后三天之间的食物和水消耗以及体重增加百分比的影响。

3.2组织重量

显示与对照组(CTRL)相比,所有组的相对器官重量均有所降低,对羟基苯甲酸甲酯浓度较高和对羟基苯甲酸丁酯浓度(p < 0.005)。精囊相对重量的变化显示出与睾丸相同的模式,其中只有Met-100与对照组没有差异(p=0.5736)。

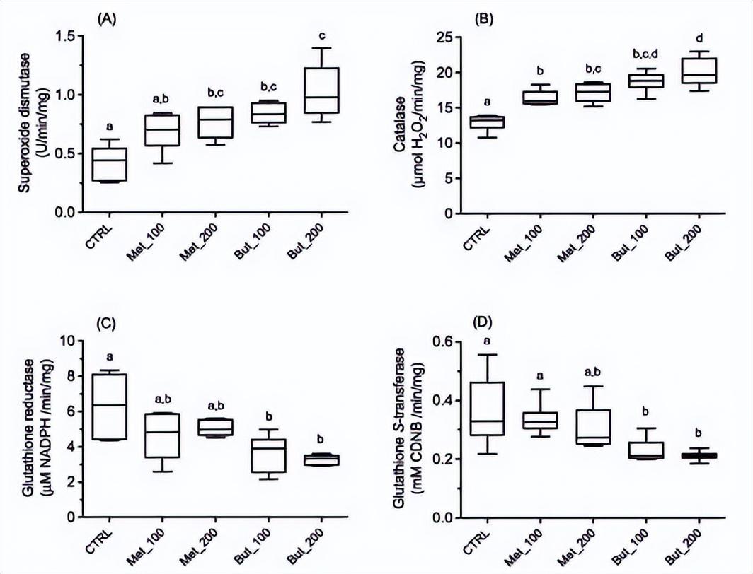
3.3抗氧化酶活性

显示,与对照组相比,对羟基苯甲酸甲酯和对羟基苯甲酸丁酯显著影响睾丸中的抗氧化酶活性。在用对羟基苯甲酸丁酯治疗的两组中,超氧化物歧化酶活性增加,而在对羟基苯甲酸甲酯的情况下,只有Met-200具有统计学显著性(p= 0.0136) 

至于过氧化氢酶,两种对羟基苯甲酸酯在所有测试浓度中都有所增加。But-200组与任一对羟基苯甲酸酯处理组相比显示出显著的增加。谷胱甘肽还原酶和谷胱甘肽S-转移酶都经历了由对羟基苯甲酸酯处理诱导的活性抑制,尽管差异仅在对羟基苯甲酸丁酯

3.4谷胱甘肽含量和还原力

谷胱甘肽还原力是通过谷胱甘肽和GSSG水平以及GSSG/谷胱甘肽比率来确定的。与对照组相比,还原型谷胱甘肽的含量没有显示出显著的变化。

与对照组相比,氧化型谷胱甘肽在用对羟基苯甲酸丁酯治疗的组中显著增加。GSSG的这种差异反映在谷胱甘肽的还原能力上,因为用对羟基苯甲酸丁酯治疗的两组显示出显著的降低(p < 0.005) 。

3.5 DNA损伤评估

观察到与对照相比,所有的处理显示出更高的值。然而,与对照组和对羟基苯甲酸甲酯组相比,对羟基苯甲酸丁酯显示出显著的增加。在将类核体与DNA损伤特异性修复酶孵育后,从结果中检测氧化碱基,表明所有组中氧化碱基都增加。

只有But-100组显示出显著差异,我们有与阶段1、2和3相关的彗星试验图像,其代表在对照(A)、But_100 (B)和But_200 中观察到的大多数细胞。

DNA损伤分析。4个独立实验的标准差。DNA链断裂,以遗传损伤指数表示,以及DNA链断裂加上氧化损伤,用甲酰胺基嘧啶DNA糖苷酶(Fpg)测定并以GDI表示空腹血糖,在大鼠睾丸细胞中。由Tukey’s确定的标有相同字母的值在各组之间没有统计学意义因此测试。

3.6讨论羟基苯甲酸酯

对羟基苯甲酸酯已被广泛用作加工食品和饮料、药物和化妆品中的抗微生物防腐剂。人类广泛接触对羟基苯甲酸酯已被广泛记录,其安全性受到质疑。一些动物研究表明,对羟基苯甲酸酯会影响氧化应激参数,导致DNA损伤,并对雄性生殖产生不利影响。

这些结果仍然存在争议,因为许多研究是在不同的条件下和不同的模型中进行的,这导致了相互矛盾的结果。以100和200mg/kg/天的浓度施用对羟基苯甲酸甲酯和对羟基苯甲酸丁酯不影响体重、饲料或水消耗量。考虑到该动物物种对尼泊金丁酯的低观测效应水平。

结论:

彗星试验是在细胞水平上测量各种DNA损伤的有效工具。在大鼠睾丸细胞悬液中执行该方案,我们显示了用对羟基苯甲酸丁酯处理的大鼠的差异,而用对羟基苯甲酸甲酯。这些数据表明,对羟基苯甲酸酯的遗传毒性可能取决于侧链长度。

对羟基苯甲酸酯处理增加了SOD和CAT活性,而不伴有GR和GST活性。抗氧化系统酶的这种变化不允许它在睾丸细胞中提供抗氧化保护。

这些结果表明,在抗氧化系统中观察到的变化,主要是由GSH/GSSG比率证明的抗氧化能力的降低,导致了氧化损伤,并且这可能是在DNA中观察到的损伤的部分原因。据我们所知,这是第一项证明对大鼠皮下注射尼泊金丁酯对睾丸细胞的遗传毒性作用的研究。

关于我们

汕尾供卵机构联系方式✅微信ivf0096✅只需8~14天,年龄18~28岁✅按身高,学历,长相✅分二代三代来决定价格✅来回报销车费✅提供吃住,汕尾供卵公司和正规供卵医院合作✅

最火推荐

小编推荐

联系我们


Copyright Your whttm.com.cn Rights Reserved. 备案号:鄂ICP备15020773号-12 备案号:鄂ICP备15020773号-12
网站所载资料并非有意侵犯您的版权,如需删除投诉,请邮件联系我们及时处理。